1.原材料及工藝設備
配置酸洗的材料如下:
表1 配制溶液的原料

工藝設備:
酸洗槽可由不銹鋼焊接而成,內襯硬聚氯乙烯塑料板或者直接用硬聚氯乙烯塑料槽。
酸洗槽應配有冷卻裝置,有溫度要求的酸洗槽應安裝溫度顯示器。
為防止酸洗液揮發,酸洗槽應加蓋和安裝抽風排氣系統。
所用掛具、掛籃和夾具,應用鈦合金材料或帶有保護涂料的不銹鋼制成或硬聚氯乙烯塑料板焊接而成。
可用對流型或其他合理結構的干燥箱,在最高溫度105℃下快速烘干鑄件。
2.工藝流程及要求
可采用以下鑄件酸洗工藝流程:噴砂去除氧化皮→有機溶劑清洗→冷水中沖洗→酸洗→冷水中沖洗→流動冷水中沖洗→噴淋→干燥→質量檢驗。
鑄件表面的油脂、油及其他污物,可用汽油、工業乙醇和丙酮等溶劑進行清洗。酸洗后手印的污染,可用體積比為1∶1的丙酮和丁醇混合液去除,再用工業乙醇清洗,并用干凈的無毛布將溶液擦干,不得揮發干。
3.酸洗成分
對鈦合金鑄件,一般選用成分1酸洗液。對某些耐腐蝕鈦合金,也可選用腐蝕速率較高的成分⒉酸洗液。
表2 酸洗液化學成分

4.酸洗操作
酸洗時,應上下移動或擺動鑄件,使酸液與鑄件處于相對運動中;應監測酸液溫度,防止超溫。
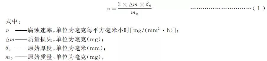
根據酸洗減薄量來確定酸洗時間。開始酸洗時,1min~5min之內取出,用水沖洗后測量厚度,以便控制酸洗時間,也可采用質量損失法測定腐蝕速率來確定酸洗時間。
測定腐蝕速率時,采用尺寸為(64~76)mm×(64~76)mm×(0.4~1.2) mm的相同狀態、相同材料鈦合金試片,酸洗時間為15min,雙面腐蝕時按公式(1)計算。

酸洗后再水洗。水洗溫度為冷水室溫以下、溫水30℃~60℃。清洗水電阻率≥1200Ω·cm(25℃)、總可溶性固體(TDS)≤600mg/L,pH值5.5~8.5(一般自來水要求),測定方法按GB/T 5750.1執行。應保證有充分的水流入清洗槽,在清洗最后階段應沖洗,以保證鑄件表面不受污染。
用清潔無油的干燥壓縮空氣吹干,或在烘箱內烘干。戴上清潔的手套卸下鑄件,用干凈的包裝材料保護鑄件。
5.酸洗溶液成分要求
配制溶液時,按配比加入化學藥品,配制完成后需攪拌均勻。槽液的深度一般不超過槽深的三分之二。
應定期進行分析酸溶液中鈦離子濃度,間隔周期一般不超過4周,分析方法可采用電感耦合等離子原子發射光譜儀分析。
根據溶液的分析結果對溶液進行調整。調整時按3.酸洗成分規定的成分,加夠各組分損耗后的需加量,然后攪拌均勻。
若酸洗液中鈦離子含量>25 g/L且酸洗速率不能滿足需求時應報廢酸洗液。報廢酸洗液應裝人密封容器內運至有資質的專業機構進行處理,不應自行處理排放。
6.酸氣凈化
酸洗過程中產生的酸氣,在排入大氣前應凈化處理,達到環境排放標準方可排放。
7.酸洗質量
外觀質量
酸洗過的鑄件表面質量應百分之百目視檢查,表面應光滑、具有金屬光澤或呈銀白色、灰白色。
鑄件表面不應有麻坑等過腐蝕缺陷或未酸洗掉的斑點。
鑄件表面不應有油污、手印、印章痕跡和筆跡。
鑄件表面不應有壓坑、碰傷、劃傷等機械損傷。
氫含量及增氫
在保證槽液成分和規定溫度的情況下,酸洗不應超過規定時間,以避免更多地增氫。應定期進行增氫量的檢查。退火ZTC4合金試片厚度為1mm~1.5mm,重約0.3g,每面酸洗0.025mm時增氫量不得超過0.003%。當增氫量超過0.003%時,應立即停止生產,查找原因。
測氫試樣1片~3片(根),試樣尺寸為3 mm×3 mm×(10~20)mm(或直徑為3mm,長度為10mm~20 mm),試樣應與酸洗鑄件的材料、批次、狀態相同,并應經過相同的酸洗工藝過程,也可從酸洗后的鑄件上切取相同尺寸的試樣。
每批酸洗后的鑄件均應測定氫含量,或按相關技術文件執行,測定方法按GB/T 4698.15執行。
酸洗后的氫含量應符合GB/T 6614或需方技術條件。當氫含量超過規定且在0.0125%~0.025%范圍內時,可按表3規定的制度對鑄件進行真空除氫退火,其他氫含量的鑄件保溫時間由試驗確定。
表3 真空除氫退火

α層
酸洗后的鑄件表面的α層應全部清除。
檢查α層的試樣取樣位置按相關技術文件執行。
α層的檢查用金相法或顯微硬度法。
酸洗后的鑄件表面有殘余α層時,應重新酸洗,直到全部清除。
檢查測試
表面粗糙度均勻并且無氧化層,無噴砂碎片,無變色,無油脂類材料,無指紋和其他污染物。
浸入電阻率不低于50Ω·m的純水中數秒,從水中拿出之后,表面沒有水膜破散。
如出現上述狀況,應重新進行清洗。
鑄件在噴砂過程中不能發生變形。
噴砂所用的噴砂材料應進行定期檢查以確保其滿足要求。
上一篇:鈦合金鑄件表面處理技術之噴砂
下一篇:沖壓鈦三通的三種方法及其過程